cuadrado de un binomio
Al elevar un binomio al cuadrado, se lo multiplica por sí mismo:
![]()
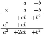
La operación se efectúa del siguiente modo:

De aquí se puede derivar una regla para el cálculo directo: se suman los cuadrados de cada término con el doble producto de los mismos.
Un trinomio de la forma
se conoce como trinomio cuadrado perfecto;se conoce como trinomio cuadrado perfecto;
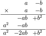
Cuando el segundo término es negativo![]()

ejemplo:
![]()
